Random review All Reviews Rating Form Contact

Unsettled. What Climate Science Tells Us, What It Doesn’t, And Why It Matters by Steven E. Koonin

(review by D.H.)

Epistemic Status: A take on a book, its science, and the politics that make everything harder than it needs to be.

TL;DR: Climate change is real, climate science is hard, all models are wrong, and the world isn’t ending anytime soon (from the climate, anyway).  Also the media is useless.

  1. My Motivation

My father is…conservative, both in a religious and political sense.  Growing up, he didn’t have the most flattering take on Global Warming/Climate Change.  Discussion of it in our house was often disparaging at best.  I can’t speak to where my father got his opinions from other than to note that it wasn’t from books (he seldom read them).

So imagine my surprise when my father, now retired, lends me a book on Climate Change, adding quietly, “This is too important to be left to the sloganeers.”

That book is Steven E. Koonin’s Unsettled.  I figured it was worth writing about.

  1. Koonin’s Motivation

Curriculum Vitae

Koonin is one of the most qualified individuals in the world to talk about Climate Change.  I bring it up here because he brings it up in Unsettled.  Often and at great length.

He began his career as a physicist but pivoted to climate science in 2004, first as BP’s chief scientist and later as undersecretary for science in Obama’s DoE (Department of Energy).

To restate that in more political terms, Koonin has, at one point or another, been an academic, worked for Big Oil, and worked for the public sector under Obama.

That is a confusing résumé for anyone attempting to pin down the man’s political allegiance, and I suspect that very reason is why he leads with it.  Throughout the book, Koonin makes an effort to take the politics out of the (climate) science.  We’ll see how well he succeeds by the end.

Motivating Incident

Koonin was asked by the American Physical Society to lead an update of their public stance on climate, and decided to actually attempt to figure out what a correct stance on climate might be:

…in January 2014 I convened a workshop with a specific objective - to “stress test” the state of climate science.  In ordinary terms, that meant analyzing, critiquing, and summarizing humanity’s accumulated knowledge about the past, present, and future of the earth’s climate.

I am impressed by this.  To me, this rings of Actual Science, in the sense of attempting to falsify one’s own hypothesis in rigorous fashion.  Karl Popper is clapping somewhere.  Specifically:

…We posed some specific and crucial questions along the lines of: Where is the data poor or the assumptions weakly supported - and does that matter?  How reliable are the models that we use to describe the past and project the future?

You know, just some mild questions anyone might ask about a field that gets about ten billion dollars of U.S. federal funding per year.

I’ll let Koonin describe the results:

For my part, I came away from the APS workshop not only surprised, but shaken by the realization that climate science was far less mature than I had supposed.

He lists four discoveries:

And the kicker (emphasis mine):

Whoops.

Definition of a Scientist

In the introduction, Koonin declares himself a scientist:

I’m a scientist - I work to understand the world through measurements and observations, and then to communicate clearly both the excitement and the implications of that understanding.

Here “scientist” is defined by two activities:

While scientists are good at the first point, they aren't anywhere near as adept at the second.  Koonin points this out as one of the chief failures of climate scientists; it is in the service of that duty that Unsettled is written, and what follows is an attempt to communicate the state of the science to the general public.

When Koonin went public (non-paywalled) with his findings, the general response was positive online, but Koonin’s anecdote about a response made in private is telling:

As the chair of a highly respected university earth sciences department told privately, “I agree with pretty much everything you wrote, but I don’t dare say that in public.”

And Koonin protects the person’s identity even in the book by referring to them so obliquely.

But the backlash was real as well:

Many scientific colleagues, some of them my friends for decades, were outraged that I’d highlight problems with The Science and thus, as one of them said, “give ammunition to the deniers.”  Another said it would have been okay to publish my essay in some obscure scientific journal but reproached me for doing so in a forum with so many readers.  And a prominent defender of the idea that The Science is settled enough published a response to my Op-Ed that began by calling for New York University to reconsider my employment, went on to misrepresent many of the things had written, but then, bafflingly, acknowledged that most of the uncertainties I’d mentioned were well known and much discussed among experts.

Koonin writes:

It seems that by highlighting those uncertainties so plainly and publicly, I had inadvertently broken some code of silence, like the Mafia’s omerta.

Unsettling indeed.

  1. To Explain or Persuade?

That is the question that every climate scientist must face.

Koonin opens his discussion of scientific integrity with an appeal to the ultimate authority on all things scientific (and bongo drums): Richard Feynman, under whom Koonin studied at Caltech.

He quotes from Feynmane’s Cargo Cult Science speech:

In summary, the idea is to try to give all of the information to help others to judge the value of your contribution; not just the information that leads to judgment in one particular direction or another.

The easiest way to explain this idea is to contrast it, for example, with advertising.  Last night I heard that Wesson Oil doesn’t soak through food.  Well, that’s true.  It’s not dishonest; but the thing I’m talking about is not just a matter of not being dishonest, it’s a matter of scientific integrity, which is another level.  The fact that should be added to that advertising statement is that no oils soak through food, if operated at a certain temperature.  If operated at another temperature, they all will—including Wesson Oil.  So it’s the implication which has been conveyed, not the fact, which is true, and the difference is what we have to deal with.

And asserts that:

Much of the public portrayal of climate science suffers from Feynman’s Wesson Oil problem - in an effort to persuade rather than inform, the information presented withholds either essential context or what doesn’t “fit.”

Koonin is complimentary of most scientists, but acknowledges:

…the issue understandably engenders passion and emotion.

He contrasts his own beliefs with that of Stephen Schneider, another climate researcher (source) (emphasis mine):

On the one hand, as scientists we are ethically bound to the scientific method, in effect promising to tell the truth, the whole truth, and nothing but — which means that we must include all the doubts, the caveats, the ifs, ands, and buts. On the other hand, we are not just scientists but human beings as well. And like most people we’d like to see the world a better place, which in this context translates into our working to reduce the risk of potentially disastrous climatic change. To do that we need to get some broad based support, to capture the public’s imagination. That, of course, entails getting loads of media coverage. So we have to offer up scary scenarios, make simplified, dramatic statements, and make little mention of any doubts we might have. This ‘double ethical bind’ we frequently find ourselves in cannot be solved by any formula. Each of us has to decide what the right balance is between being effective and being honest. I hope that means being both.

Koonin disagrees entirely:

It is the height of hubris for a scientist even to consider deliberately misinforming policy discussions in service of what they believe to be ethical.

In the wake of COVID-19, where public health officials routinely lied to the public, this cuts very, very deeply.

Like Stan Lee, Koonin recognizes that with great power comes great responsibility:

We’re the only people who can bring objective science to the discussion, and that is our overriding ethical obligation.  Like judges, we’re obligated to put personal feelings aside as we do our job.  When we fail to do this, we usurp the public’s right to make informed choices and undermine their confidence in the entire scientific enterprise.

He concludes with:

There’s nothing at all wrong with scientists as activists, but activism masquerading as The Science is pernicious.

The book makes it very clear in the introduction: Koonin is acting to counter what he perceives as a failure of the scientific community to be objective when it comes to Climate Change - and especially a failure of the same community to ensure that their findings are correctly represented to the public.

In other words (with apologies to Shakespeare):

To explain or persuade

That is the question.

Whether ‘tis nobler in the science to present

The uncertainties and error bars of true knowledge,

Or to take arms against the rising seas

And by exaggerating end them.

  1. Warming and Measurement

Core Questions and Uncertainty

Koonin opens with three issues that form the core questions of climate science:

He notes that:

…science being what it is, none of these answers is, or ever will be, entirely certain.

And follows that thought with a brief digression on error bars, capped with the IPCC’s own “set of calibrated terms” (from this report):

Much of the science Koonin refers to comes from the IPCC’s own reports, which he regards highly, with a caveat:

…a careful reading of the most recent assessment reports also reveals some elementary failures that mislead or misinform readers on important points.

Climate Is Not Weather

Koonin draws a firm line in the sand in terminology (emphasis mine):

…using weather observations to learn something about the climate is altogether more complicated, because climate is not the weather - a distinction often missing in popular discussion.

He defines climate (emphasis but not italics mine):

a location’s climate is the average of its weather over decades.

So no, the fact that it just snowed in April or that scorching heat wave in the middle of November are not Climate Change, they aren’t even Climate - they’re weather.

Measuring Temperatures and Global Warming

Not quite this easy. (Source)

The most basic element of Climate Science - measuring the world’s temperature - is not easy:

…it isn’t easy to measure the surface temperature over the whole earth, particularly when you’re looking for changes of a fraction of a degree over decades.  You have to worry about variations in the thermometers themselves, how they’re housed, and exactly where they’re located.  And even if a station hasn’t been moved over the years, urbanization around a site is a concern, since buildings, roads, and concentrated human activity make cities a few degrees warmer than their rural surroundings.

Koonin cites a 1987 paper by Hansen and Lebedeff showing that global temperatures can be estimated from a “sparse network of stations.”  The resulting graph of temperature anomalies (changes in temperature from a baseline) is generally taken as canonical:

The data, taken in their entirety, show an unmistakable upward trend: Global Warming.  Yet the overall trend is composed of many smaller trends - yearly and seasonal cycles play a role in variability, but there exist subtrends that span decades that differ meaningfully from the overall arc of the data.  Koonin comments:

…the rate of rise was twice as large as our 0.09℃/decade long-term average during the forty years from 1980 to 2020 (0.20℃/decade), while it was negative during the forty years from 1940 to 1980 (-0.05℃/decade).

[...] So trends are often highly dependent on the time span being considered; here we can get almost any trend we want depending upon which interval we choose.

Anyone familiar with the current issues in the social sciences should be getting deja vu from this, or at least a sense of foreboding.  There is sufficient data to tell a wide variety of stories and a large incentive to tell some of them over others.  This doesn’t mean that Climate Science’s overall conclusions are wrong or untrue - but it should make us take a step back to make sure that the data isn’t cherry-picked.

Also confusing the issue is the difference between local and global effects.  CO2 concentration is similar throughout the atmosphere, so its effect should be more uniform across the planet; cities tend to be warmer than their surroundings due to a variety of effects.

Lastly, there are significant difficulties in estimating the temperature the further back we go in the past.  The first reliable thermometer wasn’t invented until 1714 by Daniel Fahrenheit, and they didn’t become widespread until the mid-1800s.  Methods referenced by Koonin include weather diaries, crop yields, and proxies such as the thickness and composition of tree rings and temperature measurements of water in boreholes.

A reconstruction of the global temperature anomaly (change from a baseline) since 500 BCE, with a baseline of the average temperature between 1881 and 1980 (taken from figure 5.7):

And from the past 500 million years (source):

Koonin actually uses this picture from the wikipedia article on paleoclimatology in the book.

In Koonin’s own words:

…the real question is not whether the globe has warmed recently, but rather to what extent this warming is being caused by humans.

  1. Human Influence

The Basics

A (very basic) model of the Earth’s temperature goes like this: space is an insulator.  Since there’s no air in space [citation needed], conduction and convection are out, leaving radiation as the only way that heat can enter or leave the planet as a whole.

So all we have to do is look at the amount of heat the sun radiates to the Earth and the amount of heat the Earth radiates into space, and we can tell what the temperature of the Earth should be!

Of course, as the Earth gets hotter it radiates more heat outwards.  And the earth doesn’t perfectly absorb all the sunlight that hits it, either; some gets reflected right back into space.  But we can account for all that, and the math doesn’t lie.  As Koonin states:

It gives an average surface temperature of…-18℃ (0℉).

I don’t know about you, but I’m not currently typing this from an igloo.  So what’s the deal?

Well, the Earth has greenhouse gases to impede the outward radiation of heat, much like a sunroom gets warm in the afternoon, or how those glass enclosures we grow plants in stay warm all year round.

Anyway, greenhouse gases keep the earth at a comfortable average temperature of 57℉ (13.9℃).  But what are the greenhouse gases, and which ones keep in the most heat?

Koonin:

Water vapor is the most important of the greenhouse gases. [...] on average, water vapor amounts to only about 0.4 percent of the molecules in the atmosphere.  Even so, it accounts for more than 90 percent of the atmosphere’s ability to intercept heat.

Not something that gets a lot of attention in the media, but industrialization isn’t generally associated with towering stacks spewing mist into the air, so that seems fair.

For the big money, CO2 comes next:

CO2 currently accounts for about 7 percent of the atmosphere’s ability to intercept heat.  It’s also different in that human activities have affected its concentration…  

Since 1750, the concentration has increased from 0.000280 (280 parts per million or ppm) to 0.000410 (410 ppm) in 2019, and it continues to go up 2.3 ppm every year.  Although most of today’s CO2 is natural, there is no doubt that this rise, and has been, due to human activities, primarily the burning of fossil fuels.

I’ll break briefly here to note that Koonin is stating, without ambiguity, that humans have altered the atmosphere of the planet in a way that leads to an increase in temperature, mostly from burning fossil fuels.

This is the most basic assertion of Anthropogenic Climate Change I can think of.  It means that anyone attempting to paint Koonin as a “Climate Change Denier” is factually incorrect.  The evidence to the contrary is plain to see on page 51 of Unsettled.

Weight and Temperature

We can see that the Earth has gotten warmer, and we can see that CO2 concentrations have increased.  We have a causal chain: humans release CO2 -> CO2 concentration increases -> more light is prevented from being radiated out into space -> Earth gets warmer.

Aren’t we done?  Climate Change is Bad, fossil fuels are evil, and we should stop using them.

Unfortunately, reality is not simple, and neither is the climate.  The analogy Koonin uses is the relationship between food and weight.  On some level, whether or not your weight goes up or down is a function of how many calories you consume versus how many calories you expend.  Eat less and you lose weight, eat more and you put it on.

The body is complex, however, and contains multiple feedback and feedforward loops and control systems, like the climate.  Perhaps eating more causes you to have more energy which leads to fidgeting, which burns extra calories.  Perhaps eating at different intervals makes a difference.  Perhaps eating different types of nutrients changes how your body metabolizes your food.

Perhaps weight is set by a control system in your brain, and certain contaminants can change how much your brain thinks your body ought to weigh.

The One Percent

The Earth’s climate is far more complicated than an individual’s weight.  While human CO2 emissions have a warming effect on the climate, aerosols “such as those produced by the burning of low-quality coal” make the Earth reflect more solar radiation.  Deforestation also exerts a net cooling effect: “pasture is more reflective than forest.”

Then there are natural events that affect the Earth’s temperature (emphasis mine):

…erupting volcanoes loft aerosols high into the stratosphere, where they remain for several years reflecting a bit more sunlight than usual and so exerting a cooling influence. [...] For example, the earth was about 0.6℃ cooler during the fifteen months that followed the eruption of Mt. Pinatubo in June 1991.  And changes in the sun’s intensity of even a fraction of a percent over decades (due to its own internal variability) can change the amount of sunlight reaching the earth, further complicating our attempts to account for all the human and natural forcings affecting the planet’s delicate energy balance.

Overall, measuring energy in Watts per square meter (W/m2):

Source of Energy

Energy Added To Climate (W/m2)

Sunlight

239

Human Influences

2

Geothermal Heat

0.09

Human Energy Generation

0.03

Adding it all up, koonin estimates the human influence on the climate as:

…the best we can say is that the net human influence today is very likely to be between 1.1 and 3.3 W/m2.

That’s only about 1% of the energy in the system.

This graph sums it up:

  1. An Emissions Interlude

Carbon Concentrations

The Earth’s carbon undergoes a natural cycle.  Most of it is stuck in the planet’s crust (1.9 billion billion tons).  Next comes the oceans (40,000 billion tons), then the soil and living things (2,100 billion tons) and fossil fuels (5,000-10,000 billion tons), and finally the atmosphere (850 billion tons).

The Earth “breathes” with each season, moving carbon from the atmosphere into plant life and back as summer comes and goes.  Koonin explains how humans are influencing this process:

The CO2 emitted by burning fossil fuels disrupts the balance of this great annual cycle, since that carbon has been pulled out of the deep underground, where it was isolated from these natural processes.  The amount of carbon that fossil fuel use adds to the cycle is currently about 4.5 percent of what flows each year.  About half of that increase is taken up annually by the surface (the rising CO2 has increased vegetation over much of the planet), and the remainder stays in the atmosphere, increasing its CO2 concentration.

So…CO2 actually does make the planet a greener place by increasing the amount of available plant food, along with warming things up.  Neat.

We’ve got a pretty picture of how CO2 emissions have been going up:

Obligatory Our World In Data graph.

Koonin notes briefly that this rise of atmospheric CO2 concentration is because of humans, citing multiple lines of research converging on that conclusion, from the timing of the rise to the isotope of carbon most prevalent in the atmosphere.

Comparing Earth’s current carbon concentrations to its distant past, we see that we are actually in a period of hilariously low atmospheric CO2:

Here Koonin alludes to something that I find quite compelling; namely that the amount of CO2 in the atmosphere is not a problem for the Earth.  The Earth can get along just fine with tons of carbon in the air.  It’s a problem for us tiny little animals that live on the very outside of the Earth’s shell.  Whatever your thoughts on plant and/or animal welfare, both can thrive in high-CO2 environments (it may not be the current plants and animals, but evolution giveth and evolution taketh away).

Note however that concentrations of CO2 at 1,000 ppm start to make people drowsy, and we run into serious problems at 2,000 ppm - and:

…if the trends of the past decade continue, it will be some 250 years before the concentration reaches 1,000 ppm…

So we’ve got plenty of time, although before I read Unsettled I’d never thought about CO2 concentrations getting to the point where the air isn’t actually breathable.

At this point it becomes clear that the future of human influence on the climate depends upon a variety of factors, from land use to emissions, and it’s here Koonin warns us about trying to predict the future:

But it is here that the warning light should start blinking.  Despite the certainty with which projections are reported as facts, estimating human influences is a highly uncertain business.

We have some data, and we have some uncertainty.

Let’s get modeling.

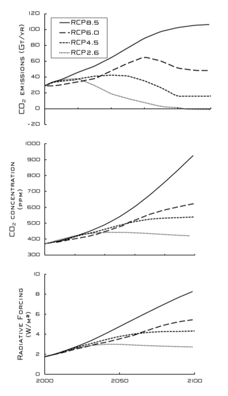
Representative Concentration Pathways

To scope the uncertainty, the IPCC created several different models of how the future could unfold, called Representative Concentration Pathways, or RCPs if you’re rationing syllables.

From Koonin (emphasis mine):

Each RCP has a number indicating the amount of warming human influence expected in 2100 under that scenario, so that RCP6 corresponds to 6 W/m2 of human-induced radiative forcing (warming) at the end of the century. (Remember, net human influences are currently about 2.2 W/m2 of warming…)  These scenarios are not meant to be predictions, but rather are schematic descriptions of distinct, but plausible, future worlds.

Each RCP graph, in other words, tracks what a dependent variable (Y axis) might look like over time, given a level of warming supposed by the number attached to it (2.6 W/m2 for RCP2.6, and so on).  This is a little backwards from normal graphs; I’ve found it easier to think of the RCP more as what the world would have to look like to limit warming to a given level than as a causative or correlative relation.

For example, more people generally means more emissions which generally equates to more warming, so the higher RCP lines tend towards higher populations.  Warming’s effects on global GDP (Gross Domestic Product), on the other hand, are much less clear, leading to something of a mixed bag.

Now the graphs:

Koonin notes that higher-emission scenarios are now taken to be much less likely as new data emerges.  However, because CO2 lasts in the atmosphere:

A crucial point to take away from this discussion is that human influences will continue to grow in any scenario short of ceasing all emissions.

Cheerful.  On that note, let’s move on to a more uplifting topic: mathematical models!

  1. All Models Are Wrong; Some Are Useful

What Climate Models Are

But what exactly are climate models?  The short answer is that they are computer programs that perform mathematical simulations of the climate system.

In other words, they’re just weather forecasts, but, you know, for the whole planet and up to a century in the future, instead of just the next ten days.

Wait - why do we trust these again?  It seems like half the time we can’t even accurately forecast the weather in a single area a week away, and we’re making important policy decisions and getting all worked up over forecasts for the entire globe over decades?  We might as well be shorting umbrella stocks when we see the next few days will be sunny.

The central problem with predicting the weather is that:

The weather is chaotic - small changes in how we start the model can lead to very different predictions after a few weeks.  So no matter how precisely we might specify current conditions, the uncertainty in our predictions grows exponentially as they extend into the future.

But what about better simulations, with more data and blinky lights?  Can’t Moore’s Law do for climate science what it’s done for deep learning?

More computer power cannot overcome this basic uncertainty.

Darn.  We’re in the realm of chaos theory now, and here there be dinosaurs.

Obligatory XKCD.

That being said, all is not yet lost.  We don’t necessarily need precise details to understand the direction the climate as a whole will trend; remember that climate is the average of weather over decades.  As Koonin writes,

…while we can’t predict with much detail how individual bubbles will arise in a boiling pot of water, we can confidently predict how the average level of the water will decline as a result of all that boiling.

How Climate Models Work

Climate models function by dividing the atmosphere into a grid of squares, each typically 100 km x 100 km over land and 10 km x 10 km over the oceans, and then make boxes from those squares by dividing the atmosphere into many layers.  The laws of physics are then employed to calculate how air, water, and energy flow from one box to its neighbors within a given time-step, and the simulation is run.

Pictured: A modeled atmospheric grid, not plans for a new, awesome skyscraper.

Now, it should be said that the atmosphere isn’t actually divided into homogenous boxes that all have the same wind, humidity, clouds, temperature, and air composition [citation needed].  This means that every model has a huge amount of assumptions built into it about how all of these factors interact within each box.

Koonin shoots down the idea of making the boxes smaller to avoid this, noting that smaller grid squares necessitate a smaller time step as well (each time step has to handle all interactions between boxes, and if the boxes are smaller, those interaction happen faster because the distances are shorter):

As an illustration, a simulation that takes two months to run with 100 km grid squares would take more than a century if it instead used 10 km squares.

While more orders of magnitude of compute eventually solve this problem, we need to make decisions now, not in a few decades.

Simulations also need to be initialized - given starting values for all oceanic and atmospheric variables of interest.  The model must also be “tuned,” which seems to translate to, “I tested the model and it made no sense and didn’t match up with what the earth actually does, so I’ll just tweak dozens of parameters until it seems like I’ve got something that isn’t obviously wrong.”

Koonin gives it to us straight:

In any event it is impossible - for both practical and fundamental reasons - to tune the dozens of parameters so that the model matches the far more numerous observed properties of the climate system.  Not only does this cast doubt on whether the conclusions of the model can be trusted, it makes it clear that we don’t understand features of the climate to anywhere near the level of specificity required given the smallness of human influences.

Tuning a climate model is its own subfield of climate science, and is referred to within the field as something between engineering and art.  This makes each model of the climate a unique, craftsman-produced product not necessarily duplicable by other scientists.

Free Range Results

Because of the uncertainties underlying climate models, results are presented as ranges, or at least compared to other models to indicate ranges.

Or they’re just averaged together, because apparently someone thinks that the wisdom of the crowd applies to climate models:

…the results presented are “averaging” models that disagree wildly with each other. [...]

One particularly jarring failure is that the simulated global average surface temperature (not the anomaly) varies among models by about 3℃ (5.6℉), three times greater than the observed value of the twentieth-century warming they’re purporting to describe and explain.

Koonin doesn’t give a source for this last, noting only that:

…you wouldn’t know that unless you read deep into the IPCC report.

I was able to find this paper which seems to suggest a greater level of sophistication when combining models than Koonin does, but since a) I haven’t read the IPCC report and he has and b) the paper is about recommendations, not specific results, I’m inclined to trust him.

Also, when you look at this (CMIP stands for Coupled Model Intercomparison Project, which is responsible for collecting various climate models and comparing them):

You can see that CMIP5, the more recent comparison, has wider error bars than CMIP3.  Koonin writes:

…the later generation of models is actually more uncertain than the earlier one.  So here is a real surprise: even as the models became more sophisticated - including finer grids, fancier subgrid parametrizations, and so on - the uncertainty increased rather than decreased.

You can also see on the graph that the period of 1910 to 1940 is particularly ill-predicted by the simulations.  Koonin translates from the IPCC commentary on the discrepancy:

…they’re saying that we’ve no idea what causes this failure of the models.  They cannot tell us why the climate changed during those decades.  And that’s deeply unsettling, because the observed early twentieth-century warming is comparable to the observed late twentieth-century warming, which the assessment reports attribute with “high confidence” to human influences.

This discrepancy could possibly be explained by multi-decadal or multi-century cycles in the climate, such as the slow change of ocean currents and oceanic-atmospheric interactions, of which El Niño is one of the most well-known.

Koonin goes into more detail and with more recent data, but his overall point is well-taken.  Predicting the future is extremely difficult in general; even more so when it comes to enormous and chaotic systems like the climate and across time spans of decades to centuries.

So are the models all wrong?  Well, yes.  But as this section is titled, these models can still be useful.  They suggest general trends, and we have no other ways of attempting to predict what might happen in the future.  Generally speaking, though, any specific model or prediction should be taken with a large grain of salt.

  1. The (Actual) Science

The Gist

It’s finally time for the main event; congratulations to those who’ve made it this far.  We’ve seen that the Earth is getting warmer, but what does that actually mean?  Hotter summers?  Milder winters?  More flooding, fire, and generally apocalyptic weather?

Koonin opens with equivalent of a sobering bucket of ice water:

Observations extending back over a century indicate that most types of extreme weather events don’t show any significant change - and some such events have actually become less common or severe - even as human influences on the climate grow.

While good data on historical extreme weather is scarce, this seems like an important pushback against a media that hyperbolizes every flood, fire, and storm it can report on.

Studies that attempt to determine the effect of anthropogenic climate change on extreme weather events are called “event attribution studies.”  As Koonin notes,

As might be expected, attribution studies almost always focus on weather disasters, not benign weather occurrences.

(I have to admit, I wouldn’t want to read a paper on how global warming has resulted in more beach days, especially when I could be at the beach instead.)

Koonin is contemptuous of such studies:

But as a physical scientist, I’m appalled that such studies are given credence, much less media coverage.  A hallmark of science is that conclusions get tested against observations.  But that’s virtually impossible for weather attribution studies. [...] Data is the touchstone of science; the only solid way to test weather event attribution is to see whether the statistical properties of extreme events have changed - which would eliminate the need for attribution studies in the first place.

He continues:

The bottom line is that the science says that most extreme weather events show no long-term trends that can be attributed to human influences on the climate.

Fire

Heat Waves

If the globe is getting warmer, shouldn’t we see more heat waves?

Well, the Earth is getting warmer, but the perception that extreme temperatures are more common is incorrect. Koonin:

In the US, which has the world’s most extensive and highest-quality weather data, record low temperatures have indeed become less common, but record daily high temperatures no more frequent than they were a century ago.

Here Koonin confidently asserts that the 2017 Climate Science Special Report (CSSR) is flat-out wrong.  From the report’s executive summary:

There have been marked changes in temperature extremes across the contiguous United States. The number of high temperature records set in the past two decades far exceeds the number of low temperature records. (Very high confidence)

The data supporting it:

Seems sufficiently scary.  What’s the problem?

Well, in Chapter 6 of the report, we see this:

Which clearly shows that the coldest temperatures are slowly climbing, while the hottest are…not moving a whole lot (the peak in the 1930s relates to the Dust Bowl).

Granted, the first chart is of daily records and the latter is of averages. But by expressing record highs to record lows in ratio form, the data is misleading; there are two ways to increase a ratio after all.  You can increase the numerator (a larger number of record high temperatures) or you can decrease the denominator (a smaller number of record low temperatures).  Which is roughly what is happening.

But it’s actually worse than that.  As Koonin explains, the nature of the data and the way it’s presented as ratios of record highs and lows guarantees small ratios followed by large fluctuations.  

To understand this, imagine that you’re recording the temperature outside your home every day for years, and marking whenever there’s a record low or high.  At first there would be plenty of both - the first year you do so you’ll count every high temperature from spring to summer until the heat has peaked.  Similarly, every winter day colder than the previous will set a new record low.  This will naturally produce low ratios - i.e. 50 record highs to 40 record lows gives a ratio of 1.25:1.

But the following year, you’ll have much fewer records - still some, but now you’re comparing each day’s temperature to the highest or lowest of a) the current year and b) the entire previous year.  So the number of record highs and lows will drop precipitously over time regardless of the general climate.  And when the number of record highs and lows get small enough, it’s easy for random variation to overwhelm any trend in the data.  The same gap of 10 between 50 record highs and 40 record lows produces an 11:1 ratio at 11 record highs and 1 record low!

When Koonin consulted with a colleague to obtain a more honest graph of extreme temperatures per 100,000 observations, they got this:

Apocalypse Not Now

Indeed, this error was caught in the review of the report (page 30) as Koonin notes, but both the ratio chart above and the finding of “increases of extreme warmth” remained in the final publication.

Koonin argues here that this is a big deal:

This isn’t picking at a nit; it really does matter.  The false notion of more frequent US high temperature records is likely to pollute subsequent assessment reports, which invariably cite prior reports.  More generally, it matters for those who care about the quality of scientific input to societal decisions and the integrity of the processes by which it’s generated.  It should also matter to those who proclaim the unimpeachable authority of assessment reports.  And it matters for media representations of climate science, which give voice to such misleading “conclusions.”

He concludes with:

There have been some changes in temperature extremes across the contiguous United States.  The annual number of high temperature records set shows no significant trend over the past century nor over the past forty years, but the annual number of record cold nights has declined since 1895, somewhat more rapidly in the past thirty years.

I’ll add that milder temperatures are likely a net benefit for humanity, although studying that is hard.

Wildfires

While the section on wildfires is in the chapter on precipitation in the book, I preferred to group extreme weather by the four elements, mostly because it seemed better, so we’ll briefly discuss wildfires here.  (Also I wanted to make Earth, Wind, and Fire jokes, but climate change has very little to do with earthquakes, so Earth is out and Water is in.)

Contrary to popular belief, wildfires are actually on the decline globally.  Koonin writes:

Sophisticated satellite sensors first began monitoring wildfires globally in 1998.  Unexpectedly, analysis of the /static/images/acx/images104_139 showed that the area burned annually declined by about 25 percent from 1998 to 2015.

This has less to do with human influences on the climate, and a lot more to do with fire-prone grasslands being converted into farmland or otherwise developed by a growing population in Africa, South America, and Central Asia.

The data:

The western US, on the other hand, is more on fire than usual.  From the report:

The incidence of large forest fires in the western United States and Alaska has increased since the early 1980s (high confidence) and is projected to further increase in those regions as the climate warms, with profound changes to certain ecosystems (medium confidence).

While climate change absolutely plays a part here in making the forests drier, other human influences are equally, if not more, important.  Koonin cites forest management and human-caused ignition (nearly 85% of fires) as among contributors to the increase in conflagrations.

Wind

Hurricanes

Hurricanes, which we’ll use as a blanket term for tropical storms of all kinds, are measured through their frequency, the Accumulated Cyclone Energy (ACE) - a weighted combination of number of storms with the square of their wind velocity - and the Power Dissipation Index (PDI), which is similar to the ACE but with cubed wind velocity instead of squared.

Hurricane observations are sketchy pre 1944, when the first aircraft observations started, and become more reliable with the advent of satellite-based observations in 1966.  Before that we have to rely on “historical reports and various proxies,” leading to the awesome-sounding discipline of paleotempestology.  (Cue SYFY Channel original movie Dinostorm, successor to Sharknado.)

So how has climate change affected hurricanes?

At first it seems that hurricanes have been getting worse.  From NCA2014:

There has been a substantial increase in most measures of Atlantic hurricane activity since the early 1980s, the period during which high quality satellite data are available. These include measures of intensity, frequency, and duration as well as the number of strongest (Category 4 and 5) storms.

And the associated graph:

But further digging in the reports reveals that:

There has been no significant trend in the global number of tropical cyclones nor has any trend been identified in the number of U.S. landfalling hurricanes.

Perhaps the number of hurricanes hasn’t increased, but the hurricanes we do get are more severe?  This seems plausible; after all, the PDI is a measure of both the number of hurricanes and their wind speed - but is it true?

Koonin places the above graph in a larger historical context:

Where we see that while hurricane frequency and intensity have varied widely over the last 70 years, there isn’t an overall trend.

Furthermore, the data appears to be presented in a deliberately misleading fashion.

From the 2017 CSSR’s Key Finding 1:

Human activities have contributed substantially to observed ocean–atmosphere variability in the Atlantic Ocean (medium confidence), and these changes have contributed to the observed upward trend in North Atlantic hurricane activity since the 1970s (medium confidence).

Also from the same 2017 CSSR section:

Furthermore, it has been argued that within the period of highest data quality (since around 1980), the globally observed changes in the environment would not necessarily support a detectable trend in tropical cyclone intensity. That is, the trend signal has not yet had time to rise above the background variability of natural processes.

One of those things is not like the others.

Koonin points out that the National Academies’ review of the CSSR “doubles down on burying the lede.”  Referring to Key Finding 1 above:

The Committee recommends preceding this with an appropriate statement describing observed trends in TC properties in the North Atlantic. Without this, the relatively low confidence in attribution might be confused as low confidence in detection.

I’m a little confused about this - I’ve read page 38 (the one Koonin cites) of the review, and the above was the best I found corresponding to Koonin’s statement that the review recommends “that the CSSR emphasize the recent upward trend in PDI.”  Still, the contrast between the Key Finding and the actual text of the report is misleading where it suggests “medium confidence” that anthropogenic climate change is contributing to more intense storms.

Koonin lambasts the way that scientists have communicated this data and the way the media portrays it.  He mentions this landmark paper from 2019.  The abstract presents their strongest finding:

We conclude there is at least low to medium confidence that the observed poleward migration of the latitude of maximum intensity in the western North Pacific is detectable, or highly unusual compared to expected natural variability.

So human influences may have altered the course of the hurricanes a little.  Not exactly a headline, but the above isn’t nearly as likely to generate a whole lot of clicks as forecasts of doom.

But haven’t there been record damages from hurricanes in recent years?

Koonin agrees, but counters that this has little to do with storms getting worse and much more to do with people building lots of valuable things on coasts.  In a paper that attempts to normalize hurricane damage (i.e. by accounting for inflation and simulating what one hurricane would do if it hit in a different year), the authors affirm:

Across both normalization methods, there is no remaining trend of increasing absolute damage in the data set, which follows the lack of trends in landfall frequency or intensity observed over the twentieth century

Tornadoes

So that’s hurricanes - but what about tornadoes?

Well, the absolute count of tornadoes per year has been going up:

But is it going up because there are more tornadoes, or because we’re just better at detecting them?

Koonin argues for the latter.  To find a trend over time we should only be looking at the most powerful tornadoes that would’ve been detectable over the entire time period of interest, those scoring at EF1 or above on the Enhanced Fujita Scale, which ranges from EF0 (weak) to EF5 (winds over 260 mph).

Correcting for this we get:

 

Which shows a decrease in average tornado intensity over time.  US deaths from tornadoes have also fallen due to radar warnings.

On the whole, storms don’t seem to have gotten measurably worse over the twentieth century, and human influence is difficult to understand at best.  While this doesn’t prove that humans are not influencing extreme storms, it does show that no real signal has yet emerged from the noise.

Water

So that’s heat waves and hurricanes - what about floods, droughts, and rising sea levels?

Precipitation

Koonin writes:

All else being equal, the hydrological cycle is expected to intensify as the globe warms: that is, there’ll be more evaporation, and the warmer air will be able to carry more water, leading to more precipitation.  Precipitation is also expected to become “lumpier,” with dry areas becoming drier and wet areas wetter with more periods of intense rainfall.  This could lead to an increase in flooding in some areas, but since high temperatures would also increase evaporation from land, droughts might also increase.  There is little consensus among models about exactly how, where, when these changes would play out.

I can already hear the cries about how climate change is causing water injustice.

Regardless of how it’s spun, this effect does show up in the data.  For the US, there’s a slight trend of increased precipitation:

And evidence that the water that does fall is indeed “lumpier”:

Floods and Anti-Floods (AKA Droughts)

Globally, we don’t have compelling evidence either way on floods.  Koonin cites AR5, Section 5.5:

In summary, there is high confidence that past floods larger than those recorded since the 20th century have occurred during the past 500 years in northern and central Europe, western Mediterranean region, and eastern Asia.  There is, however, medium confidence that in the Near East, India, central North America, modern large floods are comparable to or surpass historical floods in magnitude and/or frequency.

So building an ark can be left for later.  And it’s reasonable to think that, if flooding damages are getting worse, it likely has much to do with how much we build in areas that flood, similar to hurricane damages above.

Droughts are commonly measured by the Palmer Drought Severity Index (PDSI), which ranges from -10 (very dry) to 10 (very wet).  For the US, there isn’t a general trend we can see:

While the southwest US is currently in a drought (naturally climate change is blamed for exacerbating the problem, even if it isn’t called out for causing it), historical records from tree rings show we are well within the historical record:

So while climate change seems bad for floods and droughts, it isn’t apocalyptic.

Sea Levels

Sea levels change over history - we can clearly see the cycles from geological estimates:

We’re currently in a period of high sea levels, starting from the last glacial maximum about 20,000 years ago:

Koonin writes:

So the question is not whether sea level is rising - it’s been doing that for the past 20,000 years.  Instead what we want to know is whether human influences are accelerating that rise.  Since human influences increased dramatically after about 1950, the best way to assess whether sea levels are going up faster than they would without us is to compare measurements since then with those in the more distant past.

Remember, sea levels rise on the order of millimeters per decade, so we need very precise data to ascertain whether levels are rising faster now than in the past.  Complicating the issue is that sea levels are non-trivial to measure with tide gauges, like many other sources of data related to climate change.

Waves, tides, and seasonal changes must be averaged, and even the ground from which the sea level is measured can change height:

…withdrawals of groundwater in the Houston-Galveston area over the past century have caused the ground to compact, lowering the land surface there by as much as 3 meters (10 feet).

A common metric of the level of water in the ocean is the Global Mean Sea Level (GMSL), which is “inferred from measurements all over the globe.”  Data from the past century shows that the sea level has been rising for a long time, well before human influence on the climate became significant:

Pictured: The Day After Next Century

Since 1992 we’ve had satellite measurements of global sea level, which gives continuous coverage of the ocean.  The pattern is a clear upward trend of 3.0 mm plus or minus 0.4 mm per year superimposed upon seasonal changes:

Koonin:

So for the past three decades, sea level has been going up by about 3 mm (0.12 inches) each year - higher than the overall average rate (1.8 mm or 0.07 inches per year) since 1880.

Case closed, right?

Not quite.  Like we’ve seen before, the earth’s climate varies greatly across time, such that it is easy to generate trends by picking any specific time period and looking at it in isolation.  Koonin quotes the IPCC, referring to the 3 mm per year rise between 1993 and 2010:

It is likely that similarly high rates occurred between 1920 and 1950.

The data in context:

Sea levels are rising as the globe warms - we just can’t untangle how much of that is due to human influences and how much is due to natural processes.  Granted, such uncertainties are small comfort to coastal developments, but even in the implausibly bad RCP8.5, the rate of rising water is only 8.4 mm/year - meaning that it would take more than a century for the oceans to be a meter higher, giving we humans time to adjust.

  1. It Ain’t The End Of The World

Extreme Weather

The climate is changing, and humans are contributing.  But how bad is it really going to get?

Contrary to Roland Emmerich movies, Koonin contends that the future isn’t going to be a series of spectacular and cinematic disasters.  He begins with an attempt to determine how many people actually die from extreme weather events.

Using data from the Center for Research on the Epidemiology of Disasters (CRED), we can see that weather-related deaths have decreased over the twentieth century, “largely due to better tracking of storms, better flood control, better medical care, and improved resilience as countries developed.”

The graph:

While researchers have published this paper suggesting that the death toll from climate change could reach 85 deaths per 100,000 in 2100 (for reference, in 2018 all infectious diseases globally accounted for about 75 deaths per 100,000), Koonin reviews their models and finds them wanting.

He points out that the research paper itself is much more modest than the headlines it generated.  Koonin states that:

In fact, the authors note that “our full set of estimates reveals a remarkable degree of uncertainty,” at least some of which is “fundamentally unresolveable.”

I couldn’t find those quotes in the paper itself - perhaps they were from a previous draft that Koonin saw?  Where he is correct, however, is that 85 deaths per 100,000 is the finding under RCP8.5, the absolute worst emission scenario (so bad that it’s getting more and more implausible over time).  The paper states:

We also estimate large benefits from mitigation, as the end of century estimate of the full mortality risk of climate change falls from 85 deaths per 100,000 under the high emissions growth RCP8.5 scenario to 14 per 100,000 under the more moderate RCP4.5 scenario.

Not good - but not catastrophe, either.

Agricultural Failure

According to the New York Times, climate change is threatening the world’s food supply.  At this point, you should be expecting Koonin’s take, lifted straight from the IPCC’s Special Report Key Finding A.1.4:

Data available since 1961 shows the per capita supply of vegetable oils and meat has more than doubled and the supply of food calories per capita has increased by about one third (high confidence).

We produce enough food to feed everyone; the issue is distribution, not production.  Most of our ability to produce enough food comes from increased crop yields due to better agricultural technologies.

Additionally, remember that CO2 is plant food - more CO2 in the atmosphere actually increases crop yields, although the net effect of all human influences is undoubtedly more complicated.

For those of us who like pictures:

Economic Devastation

You all know the drill by now.  The second volume of the Fourth National Climate Assessment (NCA2018) comes out, and the media lose their minds.

That aside, what do we think the impact of climate change will be on the economy?

From the report:

In the absence of more significant global mitigation efforts, climate change is projected to impose substantial damages on the U.S. economy, human health, and the environment. Under scenarios with high emissions and limited or no adaptation, annual losses in some sectors are estimated to grow to hundreds of billions of dollars by the end of the century.

And yet figure 10-1 from the report shows this:

That cluster of studies in the middle indicates that, by 2100, the expected effect on the global economy of about 3℃ of warming is… that the economy is about 3% smaller than it would otherwise have been.  Koonin does the math:

An impact of 3 percent in 2100 - some eighty years from now - translates to a decrease in the annual growth rate by an average of 3 percent divided by 80, or 0.04 percent per year.  The IPCC scenarios [...] assume an average annual growth rate of about 2 percent through 2100; the climate impact would then be a 0.04 percent decrease in that 2 percent growth rate, for a resulting growth rate of 1.96 percent.

He finishes with a comforting (or sobering, depending on your point of view) graph of the climate’s projected effect on US GDP:

While the warming climate may delay the global economy’s growth, it won’t stop it, nor is it expected to hinder it much over the next century.

  1. Politics and Science

After going through the science of what climate change is really doing, Koonin elaborates on who he thinks is responsible for the narrative of “The Science” being so misleading.  What follows is less science and more speculation and opinion.

Blame

The Media

Koonin writes:

Whatever its noble intentions, news is ultimately a business, one that in this digital era increasingly depends upon eyeballs in the form of clicks and shares.  Reporting on the scientific reality that there’s been hardly any long-term change in extreme weather doesn’t fit the ethos of If it bleeds it leads.  On the other hand, there is always an extreme weather story somewhere in the world to support a sensational headline.

I’m inclined to agree with him here.  I’d like to add that, rather than blaming any individual or political camp, I put the media’s lack of ability to report honestly on climate change on the incentives of the industry.  Our society finds itself more and more in a war for attention, and outrage gathers more attention than analysis.  Additionally, those with the training to truly understand the science usually have better things to do than report on it.

Politicians

In something of an understatement, Koonin asserts:

Unfortunately, while climate science and associated energy issues are complicated, complexity and nuance don’t lend themselves at all well to political messaging.

He calls out both sides of the political spectrum:

Politicians on the right who deny even the basics that science has settled - that human influences have played a role in warming the globe - are not above exploiting climate science uncertainties, offering them as “proof” that the climate isn’t changing after all.

Politicians on the left find it inconvenient to discuss scientific uncertainties or the magnitude of the challenge in reducing human influences.  Instead, they declare the science settled and label anyone who questions that conclusion “a denier,” lumping conscientious scientists advocating for less persuasion and more research in with those openly hostile to science itself.

Again, I understand this as politicians just doing what they’re incentivized to do - get votes.  Fear-mongering is a tried and tested way of doing so whether the thing to fear is communism, terrorism, or climate change.  And once an issue becomes politicized it becomes partisan.

Scientific Institutions

Koonin gives an example of the presidents of a scientific institution, the National Academies of Science, Engineering, and Medicine, issuing the following statement:

Scientists have known for some time, from multiple lines of evidence, that humans are changing Earth’s climate, primarily through greenhouse gas emissions. The evidence on the impacts of climate change is also clear and growing. The atmosphere and the Earth’s oceans are warming, the magnitude and frequency of certain extreme events are increasing, and sea level is rising along our coasts.

He criticizes this:

Even given the need for brevity, this is a misleadingly incomplete and imprecise accounting of the state of climate science.  It conflates human-caused warming with the changing climate in general, erroneously implying that human influences are solely responsible for these changes.  It invokes “certain extreme events” while omitting the fact that most types (including those that pop most readily to mind when one reads the phrase “extreme events,” like hurricanes) show no significant trend at all.  And it states that “sea level is rising” in a way that not only suggests that this, too, is solely attributable to human-caused warming, but elides the fact that the rise is nothing new.

As I see it, the problem here is one of telephone - the game where one person whispers a message to another, who whispers it to another, and so on down a line of people, to see how well the message is preserved at the end.  The actual science done by researchers is quite good; it’s during the process of extracting that science and communicating it clearly, with appropriate uncertainty, that our scientific institutions are failing, deliberately or not.

Koonin understands why this is a large problem:

When communication of climate science is corrupted like this, it undermines the confidence people have in what the scientific establishment says about other crucial societal issues (COVID-19 being the outstanding recent example).

Scientists

Not being a climate scientist myself, I can’t imagine the pressure such people are under.  Koonin mentions the pressure to “generate press and secure funding through grants,” matters of promotion and tenure, and peer pressure in an environment that enforces conformity of thought.

He also faults non-climate scientists for failing to engage with climate science with the rigor they apply to their own fields.

Activists

Koonin:

I have no problem with activism, and the efforts of NGOs have made the world better in countless ways.  But distorting science to further a cause is inexcusable, particularly with the complicity of those scientists who serve on their advisory boards.

It’s the same story as the politicians: emergency and impending doom generate donations and political will; sober analysis of the facts does not.

The Public

If scientists themselves are not immune to departing from the science, what hope does the public have?  Koonin writes:

As around the world, most citizens in America are not scientists, and the educational system does not deliver much in the way of scientific literacy to the wider public.  Most people do not have the ability to examine the science themselves, and they have neither time nor the inclination to do so.

Not to mention, as everyone who tries to discuss political issues with those outside of their own bubble knows:

It certainly doesn’t help that, at this point, even attempting a discussion of The Science is to enter a political minefield.  When I tell people some of the things the assessment reports really say about climate, many immediately ask whether I was a Trump supporter.  My reply is that I was not, and that, as a scientist, I have always supported truth.

He concludes by cautioning:

In a democracy, voters will ultimately decide how society responds to a changing climate.  Major decisions made without full knowledge of what the science says (and doesn’t say) or, even worse, on the basis of misinformation, are much less likely to lead to positive outcomes.  COVID-19 offered a sobering illustration of this, and it’s as true for climate and energy as it is for pandemics.

Fix

Koonin’s main suggestion to improve the state of climate science is to include red team exercises for assessment reports.  Common in military and cybersecurity settings, red team exercises involve designating a group of people specifically to “attack” the weak points of something (in this case, the assessments).  The results can then be shared with the original authors and incorporated to create more robust documents.

Koonin received backlash to this idea when he suggested it, with the main argument being that said work had already been peer-reviewed.  His response is that while the research has been peer reviewed, the assessment reports themselves are not research papers and have different, less objective review standards:

The processes for drafting and reviewing the climate science assessment reports do not promote objectivity.  Government officials from scientific and environmental agencies (who might themselves have a point of view) nominate or choose the authors, who are not subject to conflict of interest constraints.  That is, an author might work for a fossil fuel company or for an NGO promoting “climate action.”  This increases the chances of persuasion being favored over information.

He leaves us with a list of red flags to watch out for in writing about the climate:

These all seem reasonable to me, and contain echoes of Scott’s take on bad science journalism and Zvi’s Law of No Evidence.

  1. Conclusion

Unsettled is fundamentally a book about Science as an institution as seen through the lens of climate science, a place where the institutions of Science and Politics collide (along with being Koonin’s own domain of expertise).  Koonin seems to think - and I agree - that Science has come off the worse from the interaction, although he remains full of praise for most scientists and their actual work.

Koonin’s contention is that Science as an institution has failed to uphold its own high standards in the field of climate science.  While he holds considerable regard for many climate scientists and cites their work extensively, he believes that scientists as a whole have failed to uphold their duty to the public to explain their results in a coherent fashion, resulting in alarming and egregious inaccuracy and misrepresentation of the actual facts.

Koonin spends time setting up his credentials because he knows for a fact that he’s going to be attacked for going against the prevailing public consensus on climate change - which he isn’t, not really.  The book makes a strong case that the climate is changing, and that humans are having a real and measurable effect on it.

This is not a climate denier, and while I wasn’t able to corroborate every claim he made, the vast majority hold up (and most of the ones that don’t were references to things people said, not scientific assertions).  Koonin believes that climate change is real and important, but laments the hyperbolizing interested parties do with the data and the scientists and scientific institutions that allow it.

Unsettled is an attempt to push back against the alarmism Koonin sees.  It emphasizes error bars, uncertainty, and transparency over persuasion and hyperbole.

If you take away anything from this review, take these points:

Notes